农业农村部办公厅关于做好农作物秸秆资源台账建设工作的通知
各省、自治区、直辖市农业农村(农牧)厅(局、委),新疆生产建设兵团农业局,黑龙江省农垦总局:
根据《农业农村部办公厅关于做好2018年国家重要农业资源台账制度建设工作的通知》(农办计〔2018〕16号)要求,为进一步做好农作物秸秆综合利用工作,拟从2019年开始,建立全国秸秆资源台账。现将有关事宜通知如下:
一、目的
建立科学规范的秸秆产生与利用情况调查监测标准和方法,搭建国家、省、市、县四级秸秆资源数据共享平台,掌握全国农作物秸秆产生与利用情况,为各级政府制定相关政策和规划、进行相关产业布局和管理等提供理论依据,为生态文明建设提供考核依据。
二、范围
台账分为秸秆产生量和秸秆利用量两部分。其中,秸秆产生量主要调查早稻、中稻和一季晚稻、双季晚稻、小麦、玉米、马铃薯、甘薯、木薯、花生、油菜、大豆、棉花、甘蔗等农作物,也包括其他在本区域种植面积较大的农作物(不包括蔬菜);秸秆利用量主要调查不同种类农作物秸秆的肥料化、饲料化、燃料化、基料化和原料化利用数量。
三、指标
秸秆产生量指标包括草谷比、理论资源量、收集系数、可收集资源量;秸秆利用量指标包括直接还田量、农户分散利用量和市场化主体利用量。理论资源量、可收集资源量、利用量均指含水率15%的风干重。
四、原则
按照属地原则开展台账建设,建设要求自上而下下达,数据采集自下而上收集。
五、实施主体
各地各级农业农村行政主管部门。
六、数据获取
(一)草谷比
可采用推荐的分区域、主要农作物的草谷比参考数据(见附件1,如有更新,以最新公布的数据为准),其他种类农作物草谷比以取样、实测为准。鼓励各地通过现场取样、实测获得农作物草谷比(草谷比实测技术方法见附件2)。各类农作物的草谷比数据应保持一贯性和连续性。
(二)理论资源量
通过计算获得。理论资源量为作物产量与该农作物草谷比的乘积。
(三)收集系数
可采用推荐的农作物秸秆收集系数(见附件3),也可以通过测量、计算或估算获得。其他种类农作物的收集系数以取样、实测为准。收集系数为可通过实地调查作物割茬高度占作物株高的比例和秸秆枝叶损失率计算(收集系数实测技术方法见附件2)。
(四)可收集资源量
通过计算获得。可收集资源量为理论资源量与收集系数的乘积。
(五)直接还田量
通过统计、计算或估算获得。直接还田量为本区域可收集资源量与秸秆还田率的乘积。秸秆还田率是指本区域某种农作物施行秸秆直接还田的面积占该农作物播种面积的比例,可根据实际情况估算或通过典型区域调查获得。
(六)农户分散利用量
通过抽样调查、计算获得。某区域的农户分散利用量为该区域抽样农户分散利用比例均值与区域秸秆可收集资源总量的乘积(调查方法及表式见附件4)。农户包括普通小农户,也包括种养大户。
(七)市场化主体利用量
通过普查获得。市场化主体利用量(调查方法及表式见附件5)为区域内从事秸秆加工的所有市场主体所利用秸秆数量之和。这里的市场主体是指对离田后的秸秆进行初次加工和直接利用,并在工商管理或民政部门注册登记的企业或合作社等经营主体,不论其秸秆利用规模大小均要进行调查。市场主体购买秸秆加工成品后再进行利用的,不在填报范围内。
七、数据采集
(一)网络填报
台账建设采取信息软件开发、互联网直报的方式进行。县级只填写各县公开发布的统计数据和调查获得的一手数据,由软件自动生成秸秆资源台账报表(见附件6和附件7),尽可能做到关联数据自动计算,数据关系自动审核。
(二)分级负责
台账数据实行分级审核负责制。县级农业农村主管部门要组织专门力量进行数据采集,并为本县台账数据的真实性和准确性负责;地市级农业农村主管部门要组织实施和督导落实全市秸秆资源台账建设工作,指导各县按规范开展工作,并为本市台账数据的真实性和准确性负责;省级农业农村主管部门要做好统筹协调、监督指导全省秸秆资源台账建设工作,并为本省台账数据的真实性和准确性负责。
(三)第三方抽查
国家、省级、市级农业农村部门不定期委托第三方机构对台账建设进行抽查,核验各地填报数据的质量和真实性。县级农业农村部门应监督管理本县秸秆市场化利用主体建立自然年度(1月1日~12月31日)秸秆原料收购、加工转化记录。
(四)采集时限
县级农业农村主管部门应在每年4月30日前完成本县上个自然年度台账数据的录入、审核和上传等工作。省级农业农村主管部门应在每年6月30日前完成本省上年度台账数据的审核、报送等工作。
请各省级农业农村行政主管部门于2019年2月25日前,将农作物秸秆资源台账建设联系人信息表(附件8)发送至农业农村部科技教育司。
联系人:农业农村部科技教育司 徐文灏
联系电话:010-59192910
电子邮箱:kjsnyc@126.com
附件:1.不同农区主要农作物草谷比参考数据
2.农作物草谷比与秸秆收集系数实测技术方法
3.可参考的主要农作物秸秆收集系数
4.农户分散利用量调查方法及表式
5.市场化主体秸秆利用调查方法及表式
6.农作物秸秆产生量台账登记表
7.农作物秸秆利用量台账登记表
8. 省(市、自治区)农作物秸秆资源台账建设联系人信息表
农业农村部办公厅
2019年1月14日
附件1
不同农区主要农作物草谷比参考数据
|
主要 农区 |
省、市、区 |
玉米 |
水稻 |
小麦 |
其它谷物 |
棉花 (籽棉) |
油菜 |
花生 |
豆类 |
薯类 |
甘蔗 |
|
华北 农区 |
北京、天津、河北、山西、内蒙古、山东、河南 |
1.73 |
0.93 |
1.34 |
0.85 |
3.99 |
/ |
1.22 |
1.57 |
1.00 |
/ |
|
东北 农区 |
辽宁、吉林、黑龙江 |
1.86 |
0.97 |
0.93 |
0.97 |
/ |
/ |
/ |
1.70 |
0.71 |
/ |
|
长江中下游农区 |
上海、江苏、浙江、安徽、江西、湖北、湖南 |
2.05 |
1.28 |
1.38 |
1.06 |
3.32 |
2.05 |
1.50 |
1.68 |
1.16 |
0.11 |
|
西北 农区 |
陕西、甘肃、青海、宁夏、新疆 |
1.52 |
/ |
1.23 |
1.23 |
3.67 |
/ |
/ |
1.07 |
1.07 |
/ |
|
西南 农区 |
重庆、四川、贵州、云南、西藏 |
1.29 |
1.00 |
1.31 |
0.97 |
/ |
2.00 |
/ |
1.05 |
1.05 |
0.10 |
|
南方 农区 |
福建、广东、广西、海南 |
1.32 |
1.06 |
1.38 |
1.27 |
/ |
/ |
1.65 |
1.08 |
1.41 |
0.10 |
附件2
农作物草谷比与秸秆收集系数实测技术方法
一、选取抽样地点
县级总体以行政村为抽样单元,以作物播种面积为基础构建抽样框,采用与播种面积规模成比例(PPS)抽样方法抽选5个行政村,作为采样地点。
二、抽选调查地块
在农作物收获前1~2天,调查人员与区、乡、村干部及有经验的农民组成调查小组,对所选行政村的所有自然地块,进行逐块踏田估计播种面积,并从高到低或从低到高排队,编制成抽样框(见表1)。
表1 农作物秸秆调查单主题调查抽样框
县(市) 乡(镇) 村 20 年 作物品种:
|
户名 |
地块编号 |
地块名称 |
面积累计 |
抽中户(∨) |
|
甲 |
乙 |
1 |
2 |
3 |
|
户一 户二 … |
|
|
|
|
说明:1. 每个村抽2个地块进行调查。
2. 抽地块组距=村种植农作物面积总和÷2。
3. 抽地块方法:有关标识排队(户农作物播种面积),随机起点,面积累计,对称等距抽样。
4. 本表要求附报:抽中地块数_________个;组距_________; 随机起点数___________。
以某调查主题的地块面积为排队标识,组距为各地块面积合计除以调查地块数量,采取随机起点对称等距的抽样方法,每个行政村调查2个自然地块。
三、放样
根据调查地块的形状(见图1),采用“品”字、“梅花”、“对角线”等放样法,在调查地块单位内放5个长方型小样本进行取样。条(撒)播和垄作作物,每点取1 m2 面积内的植株(垄作作物在一条垄上割取);穴播作物每点割取5行5穴,具体取样方式按当地实际条件进行调整。

|
地块编号: 地块名称: 地块面积(亩): 小样本个数(个): 平均小样本面积: 放样方法: |
||
|
GPS测量定位点 |
标志名称 |
|
|
定位点代码 |
测量结果 |
|
|
01 |
|
|
|
02 |
|
|
|
03 |
|
|
|
04 |
|
|
|
… |
… |
|
说明:1. 用GPS对地块主要拐点处的坐标位置(拐点一般为四个,复杂的可能更多一些)定位,将定位点编码,在草图上标明,并把测量结果填入表中。放样草图必须标明地块长宽,地块形状以及小样本。
2. 写明地块各个定位点的明显标志,如河流,道路,大树,电线杆等。
3. 地块偏小或坡度较大时,使用手工方法丈量面积。
4. 要求每一个抽中地块均填写本表。
四、取样
(一)稻谷、小麦、玉米等调查主题
将每点的作物收割保存,农作物秸秆地上部分整株割下;待全部收获后将作物和秸秆样本晾晒、烘干,将作物脱粒;然后分别称取作物和秸秆的质量。将测量结果记入表2中。
表2 农作物草谷比调查表
县(市) 乡(镇) 村 20 年 作物品种:
|
抽中地块编号 |
|
|
|
抽中地块名称 |
|
|
|
1. 籽粒质量(kg) |
|
|
|
2. 衣分率(%) |
|
|
|
3. 秸秆质量(kg) |
|
|
注:数据精度保留小数点后两位。
(二)棉花调查主题
由调查员或辅调员直接进入地块,在棉花收获季节对抽中样本内的棉花分期分批采摘保存,待全部收获后将采摘的样本棉花混匀抽出一部分进行测定水分和衣分率,推算出样本内的棉花产量。
待样本地块的棉花采收完毕后,将棉花秸秆地上部分整株割下,晾晒、烘干后称取棉花秸秆的质量。将测量结果记入表2。
按照GB1103.1的有关规定测定并计算衣分率。如因调查时间太早不能取得当年实际资料,可从当地农业部门取得,也可结合历史资料与当地有经验的农民座谈分析确定。
(三)割茬高度的实测
在调查村,根据农作物的收获方式(机械和人工)的不同,分别选取10个典型地块,测量各种收获方式的秸秆割茬高度,每个典型地块测10株(丛),计算平均值,将测量和计算结果记入表3。
马铃薯秧、甘薯秧、木薯秸秆以及花生秧割茬高度可以按照 0cm 进行计算。
(四)枝叶损失率测定
实地调查秸秆收集和运输过程中的枝叶损失率,并将结果记入表3。
表3 村级农作物收集系数调查表
县(市) 乡(镇) 村 20 年 作物品种:
|
采样地点 |
1 |
2 |
3 |
4 |
5 |
6 |
7 |
8 |
9 |
10 |
|
收获方式:1. 机械收获( ) 2. 人工收获( ) |
||||||||||
|
一、机械收获 |
||||||||||
|
1.株高(cm) |
|
|
|
|
|
|
|
|
|
|
|
2.割茬高度(cm) |
|
|
|
|
|
|
|
|
|
|
|
二、人工收获 |
||||||||||
|
1.株高(cm) |
|
|
|
|
|
|
|
|
|
|
|
2.割茬高度(cm) |
|
|
|
|
|
|
|
|
|
|
|
三、枝叶损失率(%) |
|
|
|
|
|
|
|
|
|
|
注:数据精度保留小数点后两位。
五、制样
调查员应事先准备塑料袋、塑料桶、纸箱、标签等抽样工具,并保证这些工具清洁、干燥。
对调查地块实际实割(采)、晾干或烘干的作物,分籽粒和秸秆分别进行样品制备,样品质量不得小于1千克。具体制备过程参见附件1-1。
将样品分籽粒和秸秆放置在密封的容器内,如带盖的塑料桶,封口的塑料袋等。如果使用透明的包装,样品应避免阳光直射。在测试前称量样品包装的质量(因为包装的内壁可能会吸收水分)。
填写图2标签,一式两份,一份放在袋内,另一份扎在袋口。将样品密封。
图2 样品标签
作物/秸秆
县(市) 乡(镇) 村
|
抽中地块编号 |
|
抽中地块名称 |
|
|
作物名称 |
|
抽样个数(个) |
|
|
样品毛重(千克) |
|
衣分率(%) |
|
注:1. 样品毛重为样品晾晒后,化验前的重量,数据精度保留小数点后两位。
2. 分作物和秸秆进行勾选。
应在24 h内对样品进行测试;或将样品在5°C时保存并尽快测试,保存时间不得超过7 d。
多余样品按照地块标上标签后进行保管,样本应保存12个月,以备核查。保存条件为干燥、通风,避免样本在保存期间发霉变质。
六、草谷比计算
按照GB 5009.3规定的方法测定籽粒的含水量和杂质率,按照附件1-2的试验方法测定秸秆的全水分。
某一地区某种农作物秸秆的草谷比的计算公式为:

其中:
mi,S—第i种农作物秸秆的重量,单位为千克(kg);
mi,G—第i种农作物籽粒的重量,单位为千克(kg);
Ai,S—第i种农作物秸秆的含水量,单位为百分数(%);
Ai,G—第i种农作物籽粒的含水量和杂质率,单位为百分数(%);
15%—秸秆风干时的含水量;
12.5%—国家标准水杂率。
其中,秸秆含水量按风干(约15%)计,籽粒含水量调整至国家标准水杂率,粮食一律按脱粒后的原粮计算,棉花产量按皮棉计算,豆类按去豆荚后的干豆计算,薯类2014年开始按鲜薯计算,花生以带壳干花生计算。
七、收集系数计算
按下式计算农作物秸秆的收集系数:

式中:
Li—第i种农作物的平均株高,单位为厘米(cm);
Li,jc—机械收获时,第i种农作物的平均割茬高度,单位为厘米(cm);
Li,sc—人工收获时,第i种农作物的平均割茬高度,单位为厘米(cm);
Ji—第i种农作物,机械收获面积占总收获的比例;
Zi—第i种农作物,在收获及运输过程中的损失率。
附件2-1
样品制备
一、范围
本标准规定了将作物和作物秸秆合并样品缩分为全水份样品。
本标准适用于作物和作物秸秆全水份样品的制备。
二、术语
(一)采样
从大量籽粒或作物秸秆中采取有代表性的一部分样品的过程。
(二)全水分样品
为测定全水分而制备的样品。
(三)样品制备
样品达到分析或试验状态的过程,主要包括破碎、混合和缩分,有时还包括筛分和空气干燥,可以分为几个阶段进行。
(四)缩分
减少样品或子样的质量。
(五)混合
将样品混合均匀的过程。
(六)破碎
减小样品或子样的标称最大粒度。
三、符号
本标准所用公式中的符号含义如下:
d:标称最大粒度。
m:样品的质量。
M:含水量。
四、样品制备的原理
样品制备的主要目的是将采集的样品经破碎、混合和缩分等程序,制备成能代表原来样品的一个或多个试验子样。主要原则是在样品制备的各个环节中不改变原样品的成分。每个分样都可代表原始样品。为了达到此目标,经缩分后,样品中每个颗粒包含在分样的可能性均相同。
五、仪器设备
(一)采样铲
人工样品缩小所使用的采样铲应为平底,且边缘应足够高以防止物料滚落,宽度至少为燃料标称最大粒度的2.5倍(如图1)。

(二)破碎机
适于制样的破碎机为镰刀、铡刀等。
(三)筛网
孔径为30 mm的筛网。
(四)天平
精度为样品质量的0.1%。
六、样品制备的方法
(一)粗切(破碎到<30mm)
如果样品包括无法通过30mm筛网的颗粒时,可使用30mm筛网将样品分离为粗粒级(未通过30mm筛网)和细粒级(通过30mm筛网);使用破碎机加工粗粒级燃料使其能通过30mm的筛网;再将粗粒级和细粒级燃料混合均匀。(注:可根据燃料类型选择其他类型的破碎设备)
(二)合并样品的缩分方法
可使用以下方法从合并样品中产生全水份样品,缩分后的全水份样品质量不得小于1.2 kg。
——锥形四分法。首先将合并样品放置在干净、坚硬的表面上。用铁锹将样品铲起堆成圆锥体,每锹样品洒在前一锹样品上,使籽粒或作物秸秆从锥体四周均匀落下,使燃料充分混合。重复上述过程三次。竖直地用铁锹插入第三次形成的圆锥体顶部将其摊平,使其厚度和直径一致且高度不超过铁锹的铲高。将铁锹沿对角线垂直插入扁平锥体的顶部,将其分成四份(可使用十字金属板),废弃相对的两份。重复堆锥和四分过程直到获得所需的分样质量(参见图2)。

——条状混合法。首先将合并样品倒在干净、坚硬的表面,用铁锹将其混合均匀。在条状燃料两个末端用垂直板挡住。用铁锹沿条状从一端到另一端尽可能地均匀分布燃料。条状的长宽比不小于10:1。沿条状长度方向均匀地取出至少20个子类作为实验室样品。将两块板垂直插入条状燃料,取出两板间的燃料作为子类。每次插入两板的板距相同,使每个子类所含燃料量相同。板距应根据所需实验室样品质量来选择。图3为条状混合法的原理图。

(1)样品制备既可一次完成,也可以分几步进行处理。如果分步处理,则每部分都应按同一比例缩分出样品,再将各部分样品合起来作为一个样品。
(2)每次破碎、缩分前,仪器和设备都要清扫干净。制样人员在制样过程中,应穿专用鞋,以免污染样品。
六、样品的储存和标记
分样应保存在密闭容器中。每个分样都应贴上标签,标签上包含样品的唯一标识。填写标签,一式两份,一份放在袋内,另一份扎在袋口。将样品密封。
附件2-2
农作物秸秆含水量试验方法
(规范性附录)
一、试验仪器
试验仪器、设备见表1。
表1 试验仪器、设备
|
序号 |
名称 |
测量范围与精度 |
数量 |
|
1 |
台秤 |
测量范围(0~10)kg,感量0.005kg |
一台 |
|
2 |
筛网 |
筛孔大于30mm |
一台 |
|
3 |
破碎机 |
|
一台 |
|
4 |
工业天平 |
感量0.1g |
一台 |
|
5 |
恒温干燥箱 |
|
一台 |
二、采样
(一)根据附件2-1采样和制备全水分样品。使用防水、密闭的容器或袋子装好样品,并存放在试验室中。
注:在制备样品时,应做好防范措施以防止水分损失。粗糙燃料应使用合适的设备,如慢速旋转式研磨机、手锯、斧子或小刀进行处理,使被测试材料的厚度小于30mm。用于测定含水量的样品制备好后,应立即称量。
(二)样品标称最大粒度小于100mm时,质量应大于500g,最少不低于300g。
三、试验步骤
(一)称取洁净的空干燥容器重量,精确到0.1g,将样品从容器或袋中移至干燥容器内。若在袋子或容器的内表面上残留有水分,则这些水分应包括在含水量计算中。在干燥箱中烘干样品的包装(袋子、容器等),并在干燥的前后称取包装的重量。如果包装材料不能承受105℃的温度,将其在实验室中展开并在室温下干燥。
注:由于物料的干燥时间取决于盛放样品容器的厚度,避免使用太深的容器。
(二)称取干燥容器和样品的重量,将其放入温度控制在(105±2)℃的恒温干燥箱中。加热容器直到其重量达到恒量。
注:干燥箱不能过载,在样品层上方以及干燥容器间要有足够的空间。
(三)秸秆具有吸湿性,取出后应尽快称量样品和容器的重量,精确到0.1g,称重过程在10~15s内完成,以避免吸收水分。在天平盘上放置耐热盘以避免热态干燥容器与天平直接接触。质量恒量是指在进一步60min(105±2)℃的加热过程中,其质量变化不超过总质量损失的0.2%。所需干燥时间取决于样品粒度、气体流速、样品盘厚度等。
注:为避免不必要的挥发分损失,干燥时间一般不超过24h。
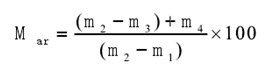
四、结果计算
计算公式为:

其中:
m1——空干燥容器的质量,单位为克(g);
m2——干燥前容器和样品的总质量,单位为克(g);
m3 ——干燥后容器和样品的总质量,单位为克(g);
m4——包装上的水分质量,单位为克(g)。
五、重复性
每个试样,应取两个平行样进行测定,以其算术平均值为结果。两个平行样测定值相差不得超过0.2%,否则重做。
六、试验报告
试验报告至少包括以下内容:
——试验室名称和试验日期;
——所试验的产品或样品编号;
——与本标准的任何偏差;
——试验结果及基准,即收到基或干燥基;
——试验步骤中,对试验结果有影响的现象和观测值,即异常现象。
附件3
可参考的主要农作物秸秆收集系数
|
序号 |
秸秆种类 |
留茬高度(cm) |
可收集系数 |
|
1 |
玉米秸 |
机械收割15 |
0.85 |
|
人工收割8 |
0.90 |
||
|
2 |
稻草 |
机械收割15 |
0.74 |
|
人工收割7 |
0.83 |
||
|
3 |
麦秸 |
机械收割15 |
0.73 |
|
人工收割6 |
0.83 |
||
|
4 |
其它谷物秸秆 |
6 |
0.85 |
|
5 |
棉秆 |
0 |
0.86 |
|
6 |
油菜秆 |
8 |
0.64 |
|
7 |
花生秧 |
/ |
0.83 |
|
8 |
豆类秸秆 |
/ |
0.56 |
|
9 |
薯类秸秆 |
/ |
0.73 |
|
10 |
甘蔗叶梢 |
/ |
0.70 |
(1)理论资源量:根据作物产量和草谷比计算得到的农作物秸秆年总产量,表明理论上该地区每年可能产生的秸秆资源量。
(2)草谷比:指农作物单位面积地上部秸秆产量与籽粒产量的比值。
(3)可收集资源量:某一区域利用现有收集方式,获得可供实际利用的农作物秸秆量。
(4)可收集系数:某一区域某种农作物秸秆可收集资源量与理论资源量的比值。可通过实地调查农作物割茬高度占作物株高的比例和秸秆枝叶损失率计算。
附件4
农户分散利用量调查方法及表式
一、选取抽样调查农户
建议每个县抽选6个行政村,每个村随机抽取20户农户进行农户分散利用量抽样调查。各地也可根据本地实际情况,自主确定抽样方法和抽样农户数量。农业大县应根据实际情况,适当加大抽样农户数量。每个县确定抽样农户以后,之后的调查年份应将抽样农户作为该县农户分散利用量固定调查农户,无特殊情况不得经常变动。如出现种植结构调整、轮作休耕和土地流转等客观因素,可以调整分散利用调查户。行政村在进行农户抽样时,应兼顾普通小农户、种植大户、养殖大户,建议以普通小农户、种植大户、养殖大户占本村农户的比例为参照平衡抽取,推荐采用PPS抽样方法抽取农户,避免出现大户过多或小农户偏多等情况。若某农户为养殖大户,且在工商管理部门已登记注册,不应再以农户身份参与抽样,应作为市场主体进行调查。
二、调查内容
每年度对抽样农户上年度的“五料化”利用秸秆量进行调查,得出某区域平均每个农户分散“五料化”利用秸秆量,再乘以本区域内农户数,即为该区域农户分散“五料化”利用秸秆量。农户分散利用量单位为吨,填报时保留两位小数。
农户分散“五料化”利用可分为五种途径:一是肥料化利用量,是指通过秸秆腐熟还田、堆沤还田、生物反应堆、生产有机肥、异地覆盖还田等技术途径消纳利用的秸秆量,不考虑秸秆直接还田。二是饲料化利用量,是指通过青(黄)贮、氨化、压块饲料(包括颗粒饲料)、揉搓丝化、蒸汽爆破等技术途径发展秸秆养畜消纳利用的秸秆量。全株青贮玉米无秸秆产出,不在统计范围。三是燃料化利用量,是指农户生活燃用的秸秆量。四是基料化利用量,是指通过生产食用菌基质、育苗基质和其它栽培基质消纳的秸秆量。五是原料化利用量,是指通过编织、养畜垫料、建筑等途径消纳的秸秆量。
为避免重复计算,农户分散利用量均指自身利用的秸秆量,不统计出售给他人的秸秆量。
农户购买秸秆加工成品后再进行利用的,不在本调查填报范围内。例如,农户购买秸秆燃料化加工主体加工后的秸秆压块燃料用于炊事取暖等,不进行填报;农户购买加工后的秸秆商品有机肥,不进行填报;农户购买加工后的秸秆饲料,不进行填报。
三、调查表式
农户分散“五料化”利用秸秆量调查表
省(自治区) 县(区) 乡(镇) 村
|
农户序号 |
户主姓名 |
户主电话 |
|||||||
|
|
|
|
|||||||
|
农作物类型 |
农作物种植情况 |
农户自种秸秆“五料化”利用比例(%) |
收集利用他人秸秆情况 |
||||||
|
播种面积 (亩) |
单产 (公斤/亩) |
肥料化 |
饲料化 |
燃料化 |
基料化 |
原料化 |
收集利用量 (吨) |
用途(①肥料②饲料 ③燃料④基料⑤原料) |
|
|
早稻 |
|
|
|
|
|
|
|
|
|
|
中稻和一季晚稻 |
|
|
|
|
|
|
|
|
|
|
双季晚稻 |
|
|
|
|
|
|
|
|
|
|
小麦 |
|
|
|
|
|
|
|
|
|
|
玉米 |
|
|
|
|
|
|
|
|
|
|
马铃薯 |
|
|
|
|
|
|
|
|
|
|
甘薯 |
|
|
|
|
|
|
|
|
|
|
木薯 |
|
|
|
|
|
|
|
|
|
|
花生 |
|
|
|
|
|
|
|
|
|
|
油菜 |
|
|
|
|
|
|
|
|
|
|
大豆 |
|
|
|
|
|
|
|
|
|
|
棉花 |
|
|
|
|
|
|
|
|
|
|
甘蔗 |
|
|
|
|
|
|
|
|
|
|
其他 |
|
|
|
|
|
|
|
|
|
|
合计 |
|
|
|
|
|
|
|
|
|
填报单位(盖章): 填报日期:
附件5
市场化主体秸秆利用调查方法及表式
通过对区域内所有从事秸秆“五料化”利用的市场化主体进行普查可获得市场主体秸秆利用量。该利用量单位为吨,填报时保留两位小数。
市场化主体利用秸秆可分为五种途径:一是肥料化利用量,是指通过秸秆腐熟还田、堆沤还田、生物反应堆、生产有机肥、异地覆盖还田等技术途径消纳利用的秸秆量,不包括直接还田部分。二是饲料化利用量,是指通过青(黄)贮、氨化、压块饲料(包括颗粒饲料)、揉搓丝化、蒸汽爆破等技术途径发展秸秆养畜消纳利用的秸秆量。全贮青贮玉米不无秸秆产出,不在统计范围。三是燃料化利用量,是指通过固化成型、炭化、热解气化、沼气生产、直燃发电、纤维素乙醇生产等技术途径消纳利用的秸秆量。四是基料化利用量,是指通过生产食用菌基质、育苗基质和其它栽培基质消纳的秸秆量。五是原料化利用量,是指通过生产人造板材、复合材料、清洁制浆、木糖醇、可降解包装材料、墙体材料、盆钵、造纸、编织、养畜垫料、建筑等技术途径消纳的秸秆量。
市场主体购买秸秆加工成品后再进行利用的,不在本调查填报范围内。例如,市场主体购买其他秸秆燃料化利用主体加工的秸秆压块燃料进行利用,不在本市场主体调查中填报;市场主体(如规模养殖场)购买秸秆加工饲料,不在本市场主体调查中填报;市场主体购买其他秸秆原料化利用主体加工的秸秆加工品,不在本市场主体调查中填报。
秸秆市场化利用主体应建立秸秆原料收购、转化利用记录,包括各自然年度的秸秆来源、数量、种类、利用方式等详细信息。
市场化主体秸秆利用量普查表
省(自治区) 县(区) 乡(镇) 村
|
市场主体序号 |
市场主体名称 |
法人 |
||||
|
姓名 |
单位电话 |
手机 |
||||
|
|
|
|
|
|
||
|
|
市场主体秸秆利用量(吨) |
|||||
|
秸秆类型 |
肥料化 |
饲料化 |
燃料化 |
基料化 |
原料化 |
年总利用量 |
|
早稻 |
|
|
|
|
|
|
|
中稻和一季晚稻 |
|
|
|
|
|
|
|
双季晚稻 |
|
|
|
|
|
|
|
小麦 |
|
|
|
|
|
|
|
玉米 |
|
|
|
|
|
|
|
马铃薯 |
|
|
|
|
|
|
|
甘薯 |
|
|
|
|
|
|
|
木薯 |
|
|
|
|
|
|
|
花生 |
|
|
|
|
|
|
|
油菜 |
|
|
|
|
|
|
|
大豆 |
|
|
|
|
|
|
|
棉花 |
|
|
|
|
|
|
|
甘蔗 |
|
|
|
|
|
|
|
其他 |
|
|
|
|
|
|
|
合计 |
|
|
|
|
|
|
填报单位(盖章): 填报日期:
附件6
农作物秸秆产生量台账登记表
省(自治区) 县(区)
|
作物种类 |
农作物产量(吨) |
草谷比 |
理论资源量(吨) |
收集系数 |
可收集资源量(吨) |
|
早稻 |
|
|
|
|
|
|
中稻和一季晚稻 |
|
|
|
|
|
|
双季晚稻 |
|
|
|
|
|
|
小麦 |
|
|
|
|
|
|
玉米 |
|
|
|
|
|
|
马铃薯 |
|
|
|
|
|
|
甘薯 |
|
|
|
|
|
|
木薯 |
|
|
|
|
|
|
花生 |
|
|
|
|
|
|
油菜 |
|
|
|
|
|
|
大豆 |
|
|
|
|
|
|
棉花 |
|
|
|
|
|
|
甘蔗 |
|
|
|
|
|
|
其他 |
|
|
|
|
|
|
合计 |
|
|
|
|
|
附件7
农作物秸秆利用量台账登记表
省(自治区) 县(区)
|
秸秆种类 |
市场主体利用量(吨) |
农户分散利用量(吨) |
直接还田量(吨) |
秸秆利用量(吨) |
||||||||||
|
肥料 |
饲料 |
燃料 |
基料 |
原料 |
合计 |
肥料 |
饲料 |
燃料 |
基料 |
原料 |
合计 |
|||
|
早稻 |
|
|
|
|
|
|
|
|
|
|
|
|
|
|
|
中稻和一季晚稻 |
|
|
|
|
|
|
|
|
|
|
|
|
|
|
|
双季晚稻 |
|
|
|
|
|
|
|
|
|
|
|
|
|
|
|
小麦 |
|
|
|
|
|
|
|
|
|
|
|
|
|
|
|
玉米 |
|
|
|
|
|
|
|
|
|
|
|
|
|
|
|
马铃薯 |
|
|
|
|
|
|
|
|
|
|
|
|
|
|
|
甘薯 |
|
|
|
|
|
|
|
|
|
|
|
|
|
|
|
木薯 |
|
|
|
|
|
|
|
|
|
|
|
|
|
|
|
花生 |
|
|
|
|
|
|
|
|
|
|
|
|
|
|
|
油菜 |
|
|
|
|
|
|
|
|
|
|
|
|
|
|
|
大豆 |
|
|
|
|
|
|
|
|
|
|
|
|
|
|
|
棉花 |
|
|
|
|
|
|
|
|
|
|
|
|
|
|
|
甘蔗 |
|
|
|
|
|
|
|
|
|
|
|
|
|
|
|
其他 |
|
|
|
|
|
|
|
|
|
|
|
|
|
|
|
合计 |
|
|
|
|
|
|
|
|
|
|
|
|
|
|
附件8
省(市、自治区)农作物秸秆资源台账建设联系人信息表
|
单位名称 |
分管领导 |
负责处室 |
|
|
|
|
|
联系人 |
联系电话 |
电子邮箱 |
|
|
|
|
注:请于2019年1月21日前将本表发送至农业农村部科技教育司邮箱(kjsnyc@126.com)。
主办单位:中华人民共和国农业农村部 承办单位:农业农村部信息中心
网站识别码bm21000007 京ICP备05039419号-2 京公网安备 11010502037559号
网站保留所有权,未经允许不得复制镜像
提示信息